
Based on the data provided by the Australian Bureau of Statistics, let us have a look at the immigration into various states:
It is clearly seen that the number of overseas immigrants has significantly increased in the last 3 years mostly in Victoria, New South Wales and Queensland.
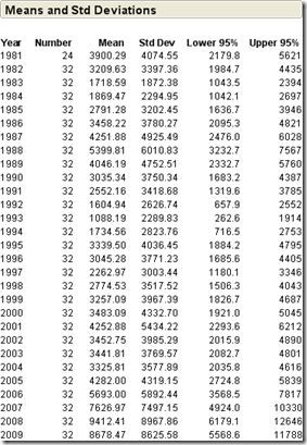
Looking at the yearly data, the mean of immigrations in the years 2007, 2008 and 2009 is almost double the three years earlier.
Australia is a land of immigrants but the sustainable growth in population has not been seen in the recent past. Immigration contributes to a large proportion of Australia’s population and it needs to be properly monitored.
Join the conversation on LinkedIn (shameless plug: Shailendra Kumar) and Twitter (Shailendra Kumar), share your thoughts.